El incremento relativo de dos variables es la razón de sus incrementos incremento relativo de y respecto a x es
Si y=f(x), el incremento relativo de la función respecto de la variable independiente x, es la transformación que experimenta la función por cada unidad de cambio en x.
Simbólicamente:
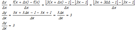
Ejemplo: Si y=3x-1 halla el incremento relativo
Solución
Se tiene y = f(x) = 3x-1, aplicando la definición de incremento relativo se tiene:(se cambia x por x+Δx)